Задать свой вопрос   *более 50 000 пользователей получили ответ на «Решим всё»

Задача 2026 На плоскости даны два вектора p={2; -3},...

Условие

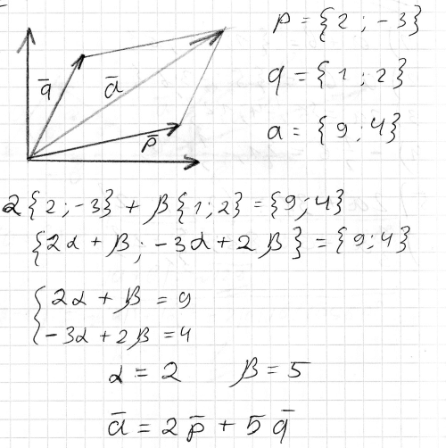
На плоскости даны два вектора p={2; -3}, q={1; 2}. Найти разложение вектора a={9; 4} по базису p, q.

математика ВУЗ 24135

Решение



Ответ: a=2p+5q

Написать комментарий

Меню

Присоединяйся в ВК