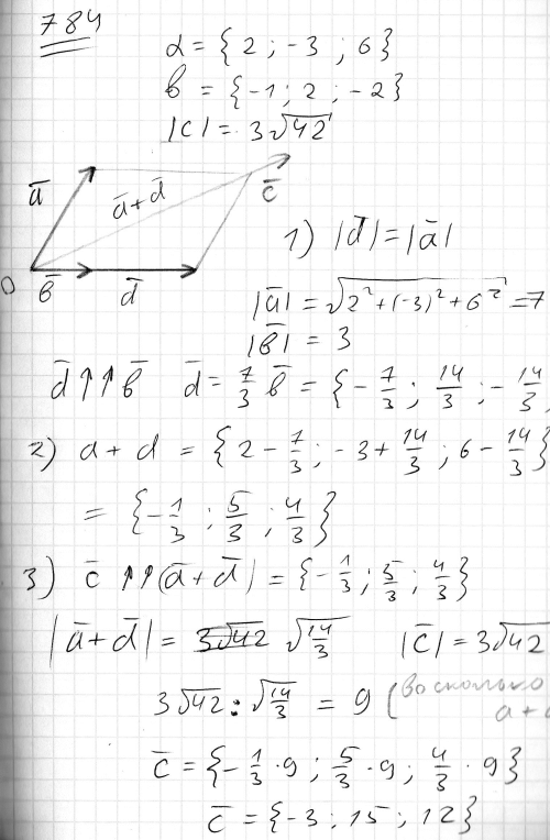
Два вектора a={2; -3; 6} и b={-1; 2; -2} приложены к одной точке. Определить координаты вектора c направленного по биссектрисе угла между векторами a и b, при условии, что |c|=3sqrt(42).
Ответ: c={-3;15;12}
откуда берется 14/3
При умножении вектора b на 7/3
Ia+dI=(-1/3)2+(5/3)2+(4/3)2 (не 2, а в квадрате и все под корнем). Получается Корень(42)/3. А затем IcI/ Ia+dI=9
Как появилось 7/3b
Почему мы делим 3 корня из 42 на корень из 14/3?
откуда взялся корень 14/3, ведь модель а+d= корень(42/9) ?
корень 14/3 взялось из воздуха
В смысле? Ты вектор b умножаешь на 7/3