Задать свой вопрос   *более 50 000 пользователей получили ответ на «Решим всё»

Задача 2024 Векторы a и b образуют угол Фи=60...

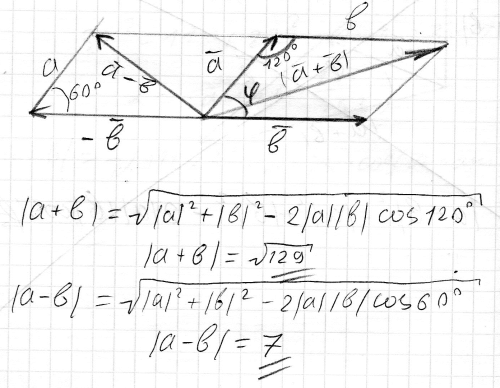
Условие

Векторы a и b образуют угол Фи=60 градусов, причем |a|=5 и |b|=8. Определить |a+b| и |a-b|.

математика ВУЗ 41582

Решение



Ответ: sqrt(129) и 7

Вопросы к решению (4)

Написать комментарий

Меню

Присоединяйся в ВК