Задать свой вопрос   *более 50 000 пользователей получили ответ на «Решим всё»

Задача 2023 Даны длины векторов |a|=13, |b|=19 и...

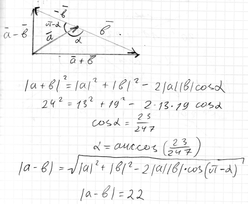
Условие

Даны длины векторов |a|=13, |b|=19 и |a+b|=24. Вычислить |a-b|.

математика 10-11 класс 57366

Решение



Ответ: 22

Вопросы к решению (2)

Написать комментарий

Меню

Присоединяйся в ВК