Задать свой вопрос
*более 50 000 пользователей получили ответ на «Решим всё»
Задача 20168
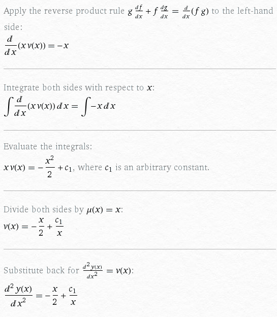
ху'''+y''+x=0 это дифференциальное...
Условие
vk120391822
29.11.2017
ху'''+y''+x=0
это дифференциальное уравнение высокого порядка с постоянными переменными
математика ВУЗ
1038
Решение
slava191
29.11.2017
★
Написать комментарий
Меню
Решим всё
Найти задачу
Категории
Статьи
Тесты
Архив задач
Присоединяйся в ВК