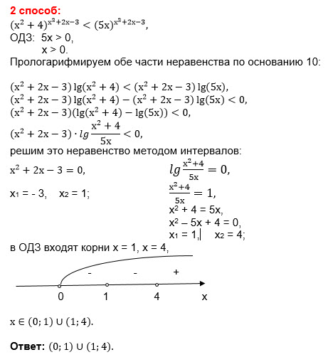
{x^2+4 > 0 всегда ⇒ x ∈(- бесконечность; + бесконечность)
{x > 0
ОДЗ: х∈(0; + бесконечность)
Делим обе части уравнения на (х^2+4)^(x^2+2x-3).
((5x)/(x^2+4))^(x^2+2x-3) > 1
Рассматриваем два случая
1) (5x)/(x^2+4) > 1
Показательная функция с основанием больше 1 возрастающая. Большему значению функции соответствует большее значение аргумента
x^2+2x-3 > 0
Система неравенств:
{(5x)/(x^2+4) > 1⇒(5x-x^2-4)/(x^2+4) > 0⇒x^2-5x+4 < 0 ⇒(1;4)
{x^2+2x-3 > 0 ⇒ (-бесконечность;-3)U(1;+бесконечность)
Ответ 1) (1;4) удовлетворяет ОДЗ
2) 0 < (5x)/(x^2+4) < 1
Показательная функция с основанием меньше 1 убывающая. Большему значению функции соответствует меньшее значение аргумента
x^2+2x-3 < 0
Система неравенств:
{0 < (5x)/(x^2+4) < 1⇒ x > 0 и x^2-5x+4 > 0 ⇒(4;+бесконечность)
{x^2+2x-3 < 0 ⇒ (-3;1)
Ответ 2) нет решений
О т в е т. (1;4)
