Задать свой вопрос   *более 50 000 пользователей получили ответ на «Решим всё»

Задача 20 В 11:45 минут в северном направлении...

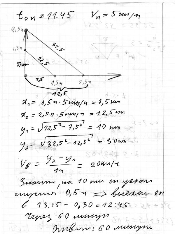
Условие

В 11:45 минут в северном направлении вышел пешеход, скорость которого составила 5 километров в час. Через некоторое время из того же пункта на восток выехал велосипедист.Определите через какое количество минут после выхода пешехода выехал велосипедист если в 13:15 расстояние между ними было 12,5 километра, а в 14:15 - 32,5 километра.

математика 10-11 класс 2896

Решение



Ответ: 60

Написать комментарий

Меню

Присоединяйся в ВК