Задать свой вопрос
*более 50 000 пользователей получили ответ на «Решим всё»
Задача 19974
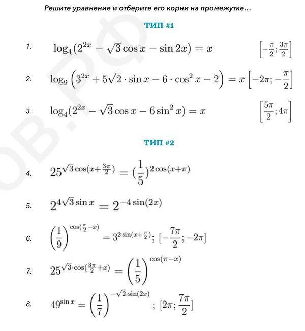
Помогите решить кроме 1 и 4 ...
Условие
vectusha
26.11.2017
Помогите решить кроме 1 и 4
математика 10-11 класс
480
О решение...
На нашем сайте такое бывает редко, но решение к данной задаче еще никто не написал.
Что Вы можете сделать?
Выставите данный вопрос вновь. Перейдите на
главную страницу
.
Найдите похожую задачу. Используйте
поиск
.
Написать комментарий
Меню
Решим всё
Найти задачу
Категории
Статьи
Тесты
Архив задач
Присоединяйся в ВК