Задать свой вопрос   *более 50 000 пользователей получили ответ на «Решим всё»

Задача 19933 Дано векторное поле: vector{a} =...

Условие

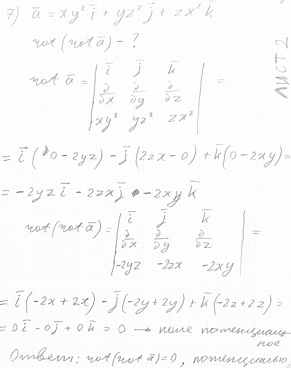
Дано векторное поле: vector{a} = xy^2vector{i} + yz^2vector{j} + zx^2vector{k}.

Найти rot(rotvector{a}).
Является ли поле потенциальным?

математика ВУЗ 2472

Решение

Тут не совсем уверен насчет потенциальности поля, ибо rot a не равен 0, а 0 равен rot(rota) а это немного другое. Но препод ошибки не обнаружил...

Ответ: В решение

Написать комментарий

Меню

Присоединяйся в ВК