Задать свой вопрос   *более 50 000 пользователей получили ответ на «Решим всё»

Задача 19932 Найти длину дуги кривой, заданной...

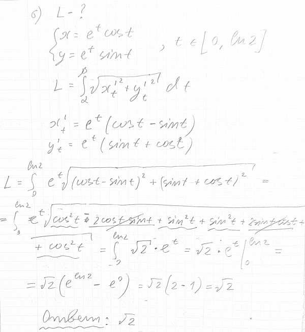
Условие

Найти длину дуги кривой, заданной параметрически:

x=e^(t)cost, y=e^(t)sint, t принадлежит [0, ln2]

математика ВУЗ 9059

Решение



Ответ: sqrt(2)

Написать комментарий

Меню

Присоединяйся в ВК