Задать свой вопрос
*более 50 000 пользователей получили ответ на «Решим всё»
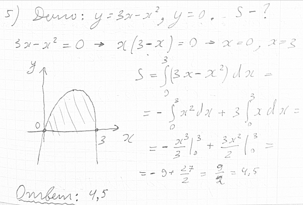
Задача 19931
Найти площадь фигуры, ограниченной...
Условие
slava191
25.11.2017
Найти площадь фигуры, ограниченной линиями y=3x-x^2, y=0
математика ВУЗ
27762
Решение
Ответ:
4,5
Написать комментарий
Меню
Решим всё
Найти задачу
Категории
Статьи
Тесты
Архив задач
Присоединяйся в ВК