Задать свой вопрос
*более 50 000 пользователей получили ответ на «Решим всё»
Задача 19930
...
Условие
slava191
25.11.2017
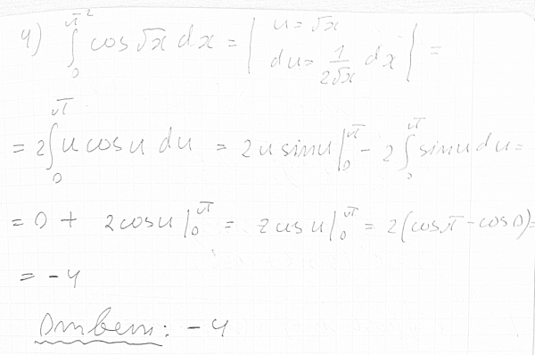
Найти интеграл ∫cossqrt(x) dx в пределах от 0 до Pi^2
математика ВУЗ
730
Решение
Ответ:
-4
Написать комментарий
Меню
Решим всё
Найти задачу
Категории
Статьи
Тесты
Архив задач
Присоединяйся в ВК