Задать свой вопрос
*более 50 000 пользователей получили ответ на «Решим всё»
Задача 19929
...
Условие
slava191
25.11.2017
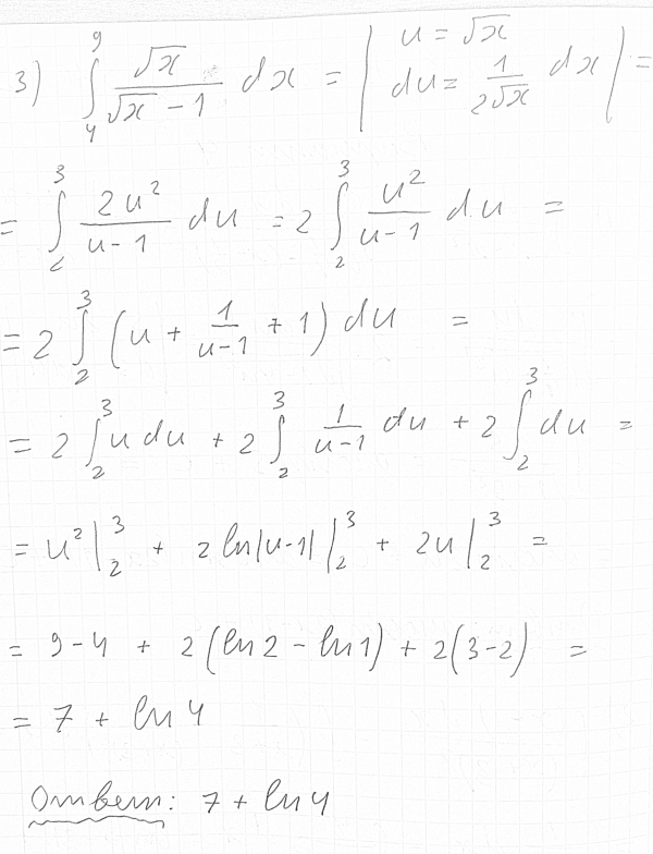
Найти интеграл ∫ sqrt(x)dx/(sqrt(x)-1) в пределах от 4 до 9
математика ВУЗ
2540
Решение
Ответ:
7+ln4
Написать комментарий
Меню
Решим всё
Найти задачу
Категории
Статьи
Тесты
Архив задач
Присоединяйся в ВК