Задать свой вопрос   *более 50 000 пользователей получили ответ на «Решим всё»

Задача 19927 ...

Условие

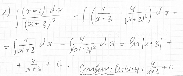
∫ (x-1)dx/(x+3)^2

математика ВУЗ 650

Решение

Было использовано правило интегрирования рациональных дробей.

Ответ: ln|x+3|+4/(x+3) + C

Написать комментарий

Меню

Присоединяйся в ВК