Задать свой вопрос
*более 50 000 пользователей получили ответ на «Решим всё»
Задача 19926
...
Условие
slava191
25.11.2017
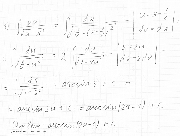
Найти интеграл ∫ dx/sqrt(x-x^2)
математика ВУЗ
3600
Решение
Ответ:
arcsin(2x-1)+C
Написать комментарий
Меню
Решим всё
Найти задачу
Категории
Статьи
Тесты
Архив задач
Присоединяйся в ВК