Задать свой вопрос   *более 50 000 пользователей получили ответ на «Решим всё»

Задача 19470 Помогите решить пожалуйста y=...

Условие

Помогите решить пожалуйста
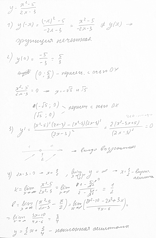
y= (x^2-5)/(2x-3)
Провести исследование функции
1. ООЗ (четная или нечетная)
2. поведение функции
3. экстремумы (возрастание, убывание)
4. уравнение наклонной и вертикальной асимптот
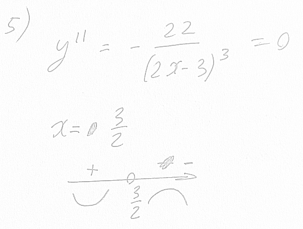
5. точки перегиба
6. контрольные точки

предмет не задан 1164

Решение

Не знаю, что у вас вкладывают в понятие контрольные точки (пункт 6), но скорее всего то, что я сделал во втором пункте.

Написать комментарий

Меню

Присоединяйся в ВК