Задать свой вопрос   *более 50 000 пользователей получили ответ на «Решим всё»

Задача 19440 В каждом из следующих случаев, составить...

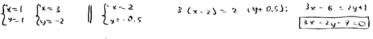
Условие

В каждом из следующих случаев, составить уравнение прямой, параллельной двум данным прямым и проходящем посередине между ними
3x-2y-1=0
3x-2y-13=0

математика ВУЗ 6627

Решение

Написать комментарий

Меню

Присоединяйся в ВК