Задать свой вопрос
*более 50 000 пользователей получили ответ на «Решим всё»
Задача 19246
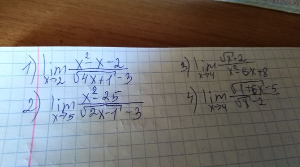
lim(x- > 2) (x^2-x-2)/(sqrt(4x+1)-3)...
Условие
vk373384374
09.11.2017
lim(x- > 2) (x^2-x-2)/(sqrt(4x+1)-3)
математика ВУЗ
1671
Решение
SOVA
09.11.2017
★
Написать комментарий
Меню
Решим всё
Найти задачу
Категории
Статьи
Тесты
Архив задач
Присоединяйся в ВК