Задать свой вопрос   *более 50 000 пользователей получили ответ на «Решим всё»

Задача 1918 Дана треугольная призма АВСА1В1С1....

Условие

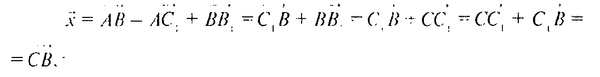
Дана треугольная призма АВСА1В1С1. Укажите вектор x,начало и конец которого являются вершинами призмы, такой, что АС1(вектор)-ВВ1(вектор) +х(вектор) =АВ(вектор)

математика 10-11 класс 8778

Все решения

x=CB

Написать комментарий

Меню

Присоединяйся в ВК