Задать свой вопрос
*более 50 000 пользователей получили ответ на «Решим всё»
Задача 1884
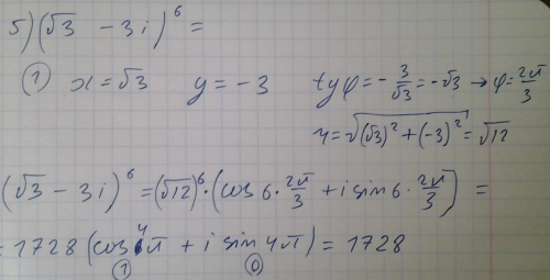
Решить (sqrt(3)-3i)^6...
Условие
slava191
13.09.2014
Решить (sqrt(3)-3i)^6
математика ВУЗ
5863
Решение
Ответ:
1728
Написать комментарий
Меню
Решим всё
Найти задачу
Категории
Статьи
Тесты
Архив задач
Присоединяйся в ВК