Задать свой вопрос   *более 50 000 пользователей получили ответ на «Решим всё»

Задача 18837 Ларин 17) Иван Петрович получил кредит в...

Условие

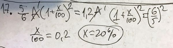
Ларин 17) Иван Петрович получил кредит в банке под определенный процент годовых. Через год в счет погашения кредита он вернул в банк 1/6 от всей суммы, которую он должен банку к этому времени. А еще через год в счет полного погашения кредита Иван Петрович внес в банк сумму, на 20% превышающую величину полученного кредита. Каков процент годовых по кредиту в данном банке?

математика 10-11 класс 4875

Решение

Второй год %% начислялись на 5/6 суммы первого года и вторая выплата оказалась равна 1,2 от суммы заёма. Уравнение на фото. Вопросы и комментарии 495-720-0951 или prois@mai.ru Елена Викторовна после 14 ноября

Написать комментарий

Меню

Присоединяйся в ВК