Задать свой вопрос
*более 50 000 пользователей получили ответ на «Решим всё»
Задача 1881
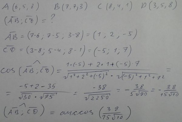
Найти угол между гранями АВ и СD в...
Условие
Гость
12.09.2014
Найти угол между гранями АВ и СD в пирамиде. А (6,5,8) В (7,7,3) С (8,4,1) D (3,5,8)
математика ВУЗ
2076
Все решения
Гость
12.09.2014
)))
Написать комментарий
Меню
Решим всё
Найти задачу
Категории
Статьи
Тесты
Архив задач
Присоединяйся в ВК