Задать свой вопрос   *более 50 000 пользователей получили ответ на «Решим всё»

Задача 18509 Решите пожалуйста, надо очень срочно ...

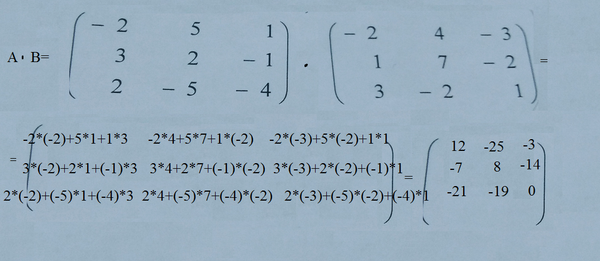
Условие

Решите пожалуйста, надо очень срочно

предмет не задан 712

Решение

1.
1) По правилу треугольника:
4*3*7+1*(-5)*8+2*1*(-1)-2*3*8-4*(-5)*(-1)-1*1*7=
=84-40-2-48-20-7=
=-33
2)По первой строке
0 *(0-4)-10*(5+6)+2*(-10-0)=
=-110-20=-130

Написать комментарий

Меню

Присоединяйся в ВК