Задать свой вопрос   *более 50 000 пользователей получили ответ на «Решим всё»

Задача 18435 Найти производную второго порядка от...

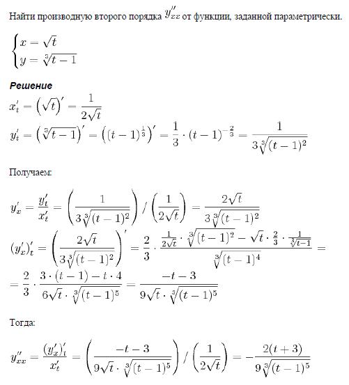
Условие

Найти производную второго порядка от функции, заданной параметрически.

system{x=sqrt(t); y=(t-1)^(1/3)}

математика ВУЗ 2182

Решение



Ответ: В решение

Написать комментарий

Меню

Присоединяйся в ВК