Задать свой вопрос   *более 50 000 пользователей получили ответ на «Решим всё»

Задача 18432 Радиус-вектор точки M составляет с осью...

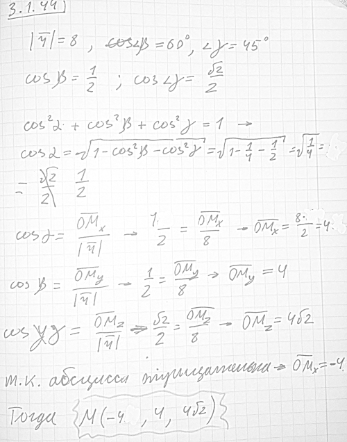
Условие

Радиус-вектор точки M составляет с осью Oy угол 60 градусов, а с осью Oz угол 45 градусов; его длина |vector{r}|=8. Найти координаты точки M, если ее абсцисса отрицательна.

математика ВУЗ 13152

Решение



Ответ: M(-4, 4, 4sqrt(2))

Написать комментарий

Меню

Присоединяйся в ВК