Задать свой вопрос   *более 50 000 пользователей получили ответ на «Решим всё»

Задача 18430 Заданы векторы a=2i+3j, b=-3j-2k,...

Условие

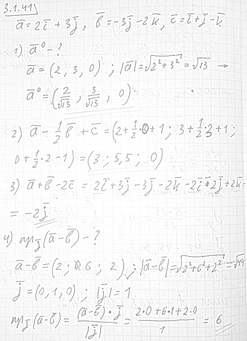
Заданы векторы a=2i+3j, b=-3j-2k, c=i+j-k. Найти:

1) Координаты орта vector{a}^(0)
2) Координаты вектора a-1/2b+c
3) Разложение вектора a+b-2c по базису i, j, k;
4) пр_(vector{j}) (vector{a}-vector{b})

математика ВУЗ 30130

Решение



Ответ: В решение

Написать комментарий

Меню

Присоединяйся в ВК