Задать свой вопрос   *более 50 000 пользователей получили ответ на «Решим всё»

Задача 18428 Дано разложение вектора vector{c} по...

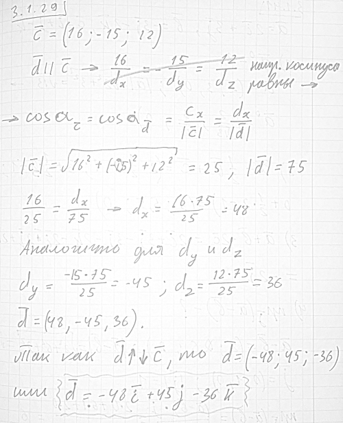
Условие

Дано разложение вектора vector{c} по базису vector{i}, vector{j},vector{k}: vector{c}=16vector{i}-15vector{j}+12vector{k}. Найти разложение по этому же базису вектора vector{d}, параллельного вектору c и противоположного с ним направления, при условии, что |vector{d}|=75

математика ВУЗ 12870

Решение



Ответ: d = -48i+45j-36k

Написать комментарий

Меню

Присоединяйся в ВК