Задать свой вопрос   *более 50 000 пользователей получили ответ на «Решим всё»

Задача 18123 14) В основании пирамиды SABCD лежит...

Условие

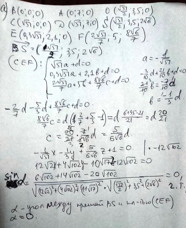
14) В основании пирамиды SABCD лежит прямоугольник ABCD со стороной АВ = 7 и диагональю BD = 10. Все боковые рёбра пирамиды равны 7. На диагонали BD основания ABCD отмечена точка Е, а на ребре AS — точка F так, что SF = BE = 3.

а) Докажите, что плоскость CEF параллельна ребру SB.

б) Плоскость CEF пересекает ребро SD в точке Q. Найдите расстояние от точки Q до плоскости АВС.

математика 10-11 класс 10859

Решение

Вопросы и комментарии 495-720-0951 или prois@mai.ru Елена Викторовна

Написать комментарий

Меню

Присоединяйся в ВК