Задать свой вопрос   *более 50 000 пользователей получили ответ на «Решим всё»

Задача 1805 Определить длину волны рентгеновского...

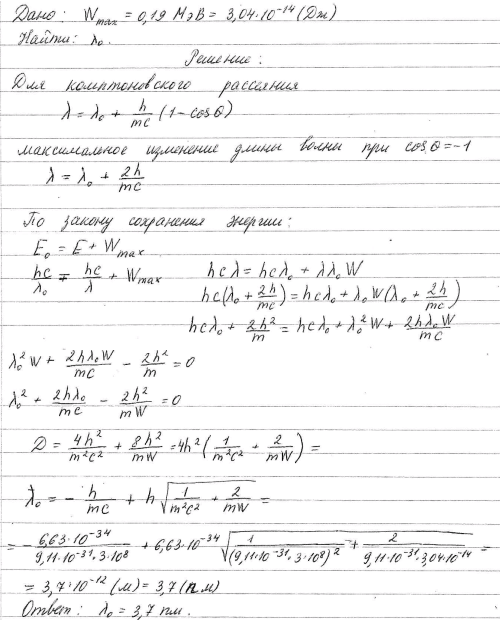
Условие

Определить длину волны рентгеновского излучения, если известно, что максимальная кинетическая энергия комптоновских электронов отдачи Wmax = 0.19 МэВ.

физика 10-11 класс 16783

Решение



Ответ: 3,7

Написать комментарий

Меню

Присоединяйся в ВК