Задать свой вопрос   *более 50 000 пользователей получили ответ на «Решим всё»

Задача 1801 Два длинных параллельных провода...

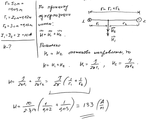
Условие

Два длинных параллельных провода находятся на расстоянии r = 5 см один от другого. По проводам текут в противоположных направлениях одинаковые токи I = 10 А каждый. Найти напряженность Н магнитного поля в точке, находящейся на расстоянии r1= 2 см от одного и r2= 3 см от другого провода.

физика 10-11 класс 44465

Решение



Ответ: 133 А/м

Написать комментарий

Меню

Присоединяйся в ВК