Задать свой вопрос
*более 50 000 пользователей получили ответ на «Решим всё»
Задача 18007
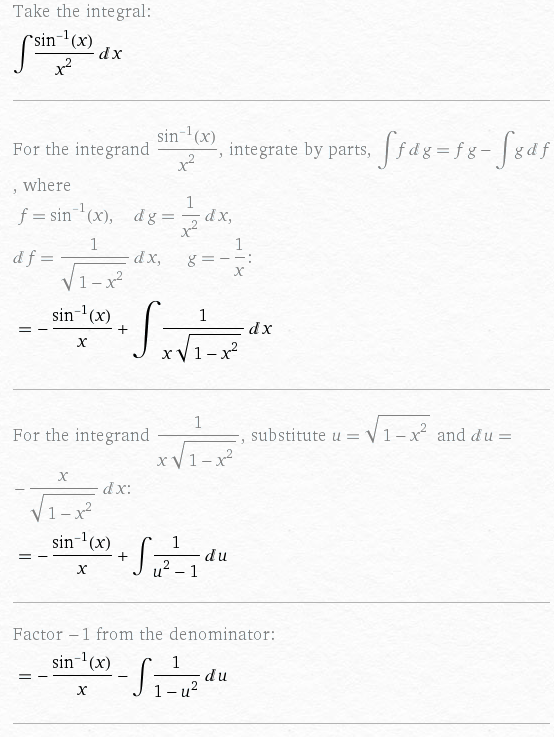
применяя метод интегрирования по частям,...
Условие
u841812184
08.10.2017
применяя метод интегрирования по частям, найти интеграл
математика ВУЗ
1115
Решение
slava191
08.10.2017
★
Написать комментарий
Меню
Решим всё
Найти задачу
Категории
Статьи
Тесты
Архив задач
Присоединяйся в ВК