Задать свой вопрос   *более 50 000 пользователей получили ответ на «Решим всё»

Задача 1800 Определить силу тока в цепи через t...

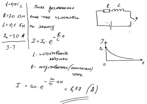
Условие

Определить силу тока в цепи через t =0,01 с после ее размыкания. Сопротивление цепи R = 20 Ом и индуктивность L = 0,1 Гн. Сила тока до размыкания цепи I0 = 50 А.

физика 10-11 класс 16105

Решение



Ответ: 6.77 А

Вопросы к решению (5)

Написать комментарий

Меню

Присоединяйся в ВК