Задать свой вопрос   *более 50 000 пользователей получили ответ на «Решим всё»

Задача 17983 Решите неравенство (x-4)^(x^2+4x-12) > 1...

Условие

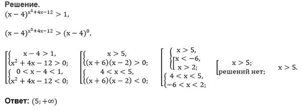
Решите неравенство (x-4)^(x^2+4x-12) > 1

математика 10-11 класс 4394

Решение

Представим
1=(x-4)^0

(x-4)^(x^2+4x-12) > (x-4)^0

Если (x-4) > 1, то показательная функция возрастает и
x^2+4x-12 > 0
Система двух неравенств
{x-4 > 1⇒ x > 5
{x^2+4x-12 > 0 ⇒ D=16+48=64 корни -6 и 2 ⇒ x < -6 или х > 2
Решение системы (5;+ бесконечность )


Если 0 < (x-4) < 1, то показательная функция убывает и
x^2+4x-12 < 0
Система двух неравенств
{0 < x-4 < 1⇒ 4 < x < 5
{x^2+4x-12 < 0 ⇒ D=16+48=64 корни -6 и 2 ⇒ -6 < x < 2

Множества решений первого и второго неравенств не пересекаются.
Система не имеет решений.
О т в е т. (5;+ бесконечность )

Вопросы к решению (1)

Все решения

Написать комментарий

Меню

Присоединяйся в ВК