Задать свой вопрос
*более 50 000 пользователей получили ответ на «Решим всё»
Задача 17974
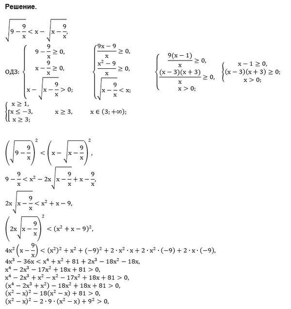
Решите неравенство sqrt(9 - 9/x) <...
Условие
slava191
07.10.2017
Решите неравенство sqrt(9 - 9/x) < x-sqrt(x - 9/x)
математика 10-11 класс
9094
Решение
u821511235
05.07.2018
★
Написать комментарий
Меню
Решим всё
Найти задачу
Категории
Статьи
Тесты
Архив задач
Присоединяйся в ВК