Задать свой вопрос   *более 50 000 пользователей получили ответ на «Решим всё»

Задача 1797 Решите |cosx+sinx| = sqrt(2)sin2x...

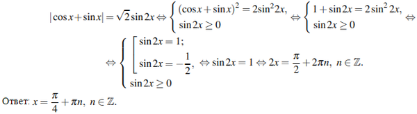
Условие

Решите |cosx+sinx| = sqrt(2)sin2x

математика 10-11 класс 24912

Решение



Ответ: Pi/4+Pin

Вопросы к решению (1)

Написать комментарий

Меню

Присоединяйся в ВК