Задать свой вопрос   *более 50 000 пользователей получили ответ на «Решим всё»

Задача 17863 ФИЗТЕХ МАТ-3) Найдите количество...

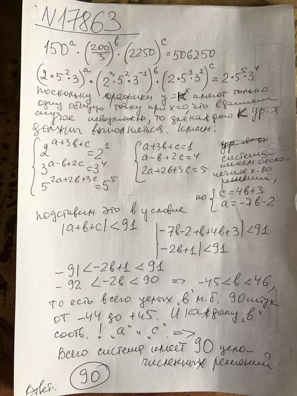
Условие

ФИЗТЕХ МАТ-3) Найдите количество целочисленных решений (a; b; c) уравнения 150^(a)*(200/3)^(b)*2250^(c) = 506250, удовлетворяющих условию |a+b+c| < 91

математика 10-11 класс 7431

Решение

Вопросы и комментарии 495-720-09-51 Елена Викторовна

Вопросы к решению (1)

Написать комментарий

Меню

Присоединяйся в ВК