Задать свой вопрос   *более 50 000 пользователей получили ответ на «Решим всё»

Задача 17676 шарика находятся на расстоянии 0.1м...

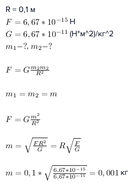
Условие

шарика находятся на расстоянии 0.1м друг от друга и притягиваются с силой 6.6*10H. какова масса каждого шарика

15811

Решение

Вот так будет выглядеть решение. Только в вашем случае F - другое число

Вопросы к решению (1)

Написать комментарий

Меню

Присоединяйся в ВК