Задать свой вопрос   *более 50 000 пользователей получили ответ на «Решим всё»

Задача 17646 сделав замену переменной интегрирования...

Условие

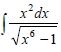
сделав замену переменной интегрирования найти следующий интеграл x^2dx/sqrt(x^6-1)

математика ВУЗ 2781

Решение

log аналогично нашему ln

Написать комментарий

Меню

Присоединяйся в ВК