Задать свой вопрос   *более 50 000 пользователей получили ответ на «Решим всё»

Задача 17638 Давно уравнение...

Условие

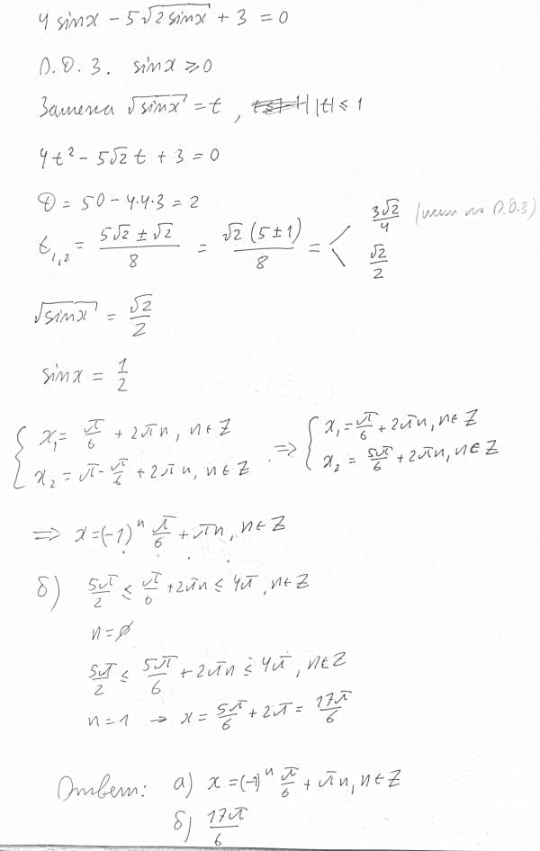
Давно уравнение 4sinx-5sqrt(2sinx)+3=0

А) Решите уравнение.

Б) Укажите корни этого уравнения, принадлежащие отрезку [5Pi/2; 4Pi]

математика 10-11 класс 7860

Решение

Все решения

54sinx+3=5 sqrt(2sinx)
возводим все в квадрат и вводим обозначение sinx=t
16t^2+24t+9=50t
16t^2-26t+9=0
D=676-576=100
t1=(26+10)/32=36/32=9/8-не подходит т.к. -1 < =sinx < =1
t2=(26-10)/32=16/32=1/2
x=arcsin0.5=pi/6+2piK х=5pi/6+2piN (N и К целые)
в указанном интервале подходит точка 17pi/6

Написать комментарий

Меню

Присоединяйся в ВК