Задать свой вопрос
*более 50 000 пользователей получили ответ на «Решим всё»
Задача 1762
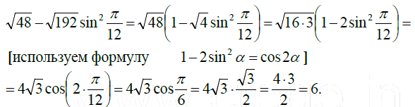
Найдите sqrt(48)-sqrt(192)sin^2 Pi/12...
Условие
slava191
06.08.2014
Найдите sqrt(48)-sqrt(192)sin^2 Pi/12
математика 10-11 класс
13808
Решение
Ответ:
6
Написать комментарий
Меню
Решим всё
Найти задачу
Категории
Статьи
Тесты
Архив задач
Присоединяйся в ВК