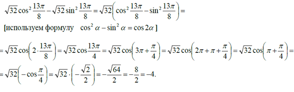
Найдите sqrt(32)cos^2 13Pi/8 - sqrt(32)sin^2 13Pi/8
Ответ: -4
2П+П
Это мы разложили 3Pi, для того чтобы применить формулу приведения
Почему 13пи расписали как 3пи+пи/4?
Для того, чтобы в последствии расписать 3пи как 2пи + пи и избавится от 2пи, так как это полный оборот вокруг окружности. А пи+пи/4 это случай для формул приведения