Задать свой вопрос
*более 50 000 пользователей получили ответ на «Решим всё»
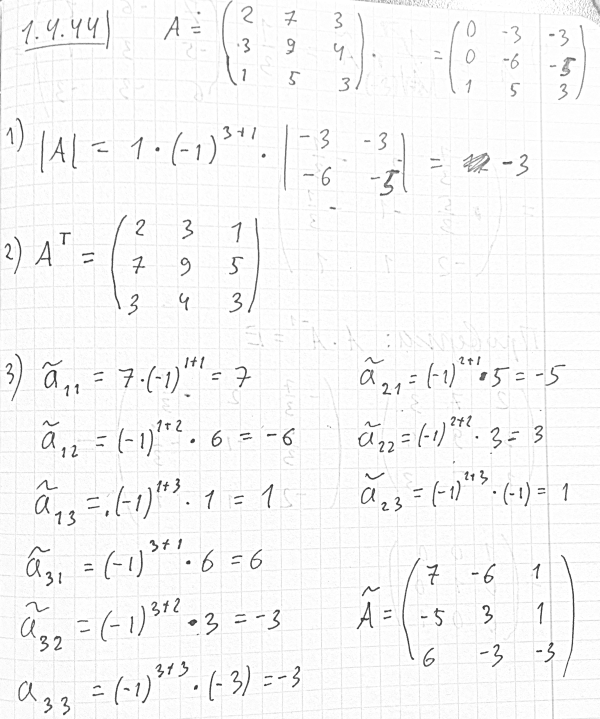
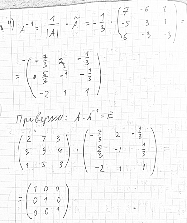
Задача 17543
Найти матрицу, обратную к данной...
Условие
slava191
18.09.2017
Найти матрицу, обратную к данной
математика ВУЗ
688
Решение
Ответ:
В решение
Написать комментарий
Меню
Решим всё
Найти задачу
Категории
Статьи
Тесты
Архив задач
Присоединяйся в ВК