Задать свой вопрос   *более 50 000 пользователей получили ответ на «Решим всё»

Задача 17508 Решите неравенство log(корень 4ой...

Условие

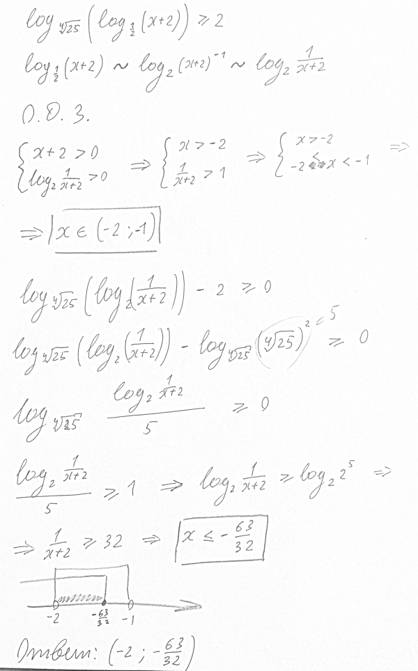
Решите неравенство
log(корень 4ой степени из 25)(log(1/2)(x+2)) больше или равно 2.

математика 10-11 класс 22394

Решение

Вопросы к решению (1)
Ошибки в решение (1)

Все решения

Написать комментарий

Меню

Присоединяйся в ВК