Задать свой вопрос
*более 50 000 пользователей получили ответ на «Решим всё»
Задача 1750
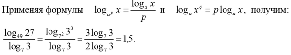
Найдите log(49) 27/log7 3...
Условие
slava191
06.08.2014
Найдите log(49) 27/log7 3
математика 10-11 класс
4410
Решение
Ответ:
1.5
Написать комментарий
Меню
Решим всё
Найти задачу
Категории
Статьи
Тесты
Архив задач
Присоединяйся в ВК