Задать свой вопрос   *более 50 000 пользователей получили ответ на «Решим всё»

Задача 17373 Дано уравнение 2/cos(Pi-x) - tg^2x =...

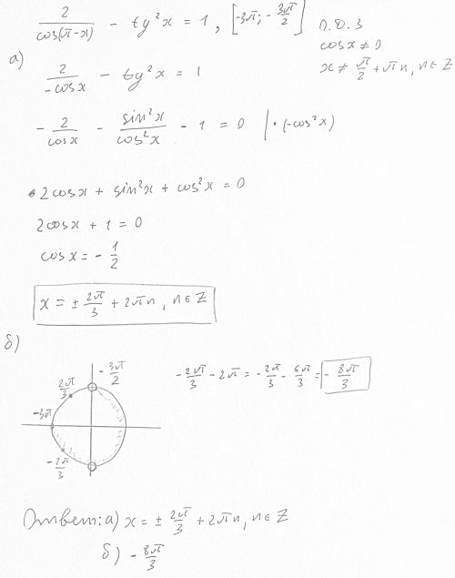
Условие

Дано уравнение 2/cos(Pi-x) - tg^2x = 1

A) Решите уравнение.
B) Укажите корни этого уравнения, принадлежащие промежутку [-3Pi; -3Pi/2]

математика 10-11 класс 12169

Решение



Ответ: В решение

Вопросы к решению (1)

Написать комментарий

Меню

Присоединяйся в ВК