Задать свой вопрос
*более 50 000 пользователей получили ответ на «Решим всё»
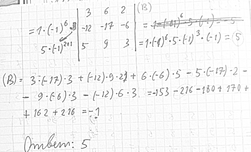
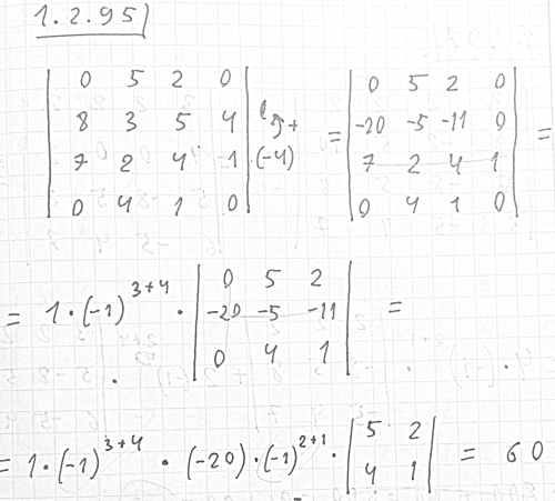
Задача 17341
Вычислить определитель разложением по...
Условие
slava191
09.09.2017
Вычислить определитель разложением по строке или столбцу:
математика ВУЗ
1154
Решение
Ответ:
В решение
Написать комментарий
Меню
Решим всё
Найти задачу
Категории
Статьи
Тесты
Архив задач
Присоединяйся в ВК