Задать свой вопрос
*более 50 000 пользователей получили ответ на «Решим всё»
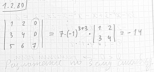
Задача 17340
Вычислить определитель разложением по...
Условие
slava191
09.09.2017
Вычислить определитель разложением по какой-нибудь строке или столбцу:
математика ВУЗ
826
Решение
Ответ:
-14
Написать комментарий
Меню
Решим всё
Найти задачу
Категории
Статьи
Тесты
Архив задач
Присоединяйся в ВК