Задать свой вопрос
*более 50 000 пользователей получили ответ на «Решим всё»
Задача 17339
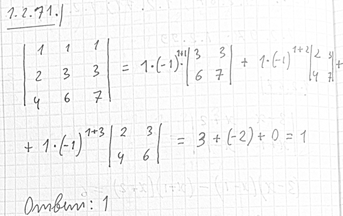
Вычислить определитель 3-го порядка...
Условие
slava191
09.09.2017
Вычислить определитель 3-го порядка разложением по первой строке:
математика ВУЗ
1324
Решение
Ответ:
1
Написать комментарий
Меню
Решим всё
Найти задачу
Категории
Статьи
Тесты
Архив задач
Присоединяйся в ВК