Задать свой вопрос
*более 50 000 пользователей получили ответ на «Решим всё»
Задача 17319
Найти интегралы непосредственным...
Условие
u841812080
09.09.2017
Найти интегралы непосредственным интегрированием: dx/(7x^2-8)
математика ВУЗ
2731
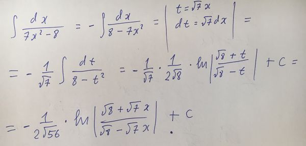
Решение
u463923132
09.09.2017
★
Написать комментарий
Меню
Решим всё
Найти задачу
Категории
Статьи
Тесты
Архив задач
Присоединяйся в ВК