Задать свой вопрос   *более 50 000 пользователей получили ответ на «Решим всё»

Задача 17196 Найдите значение матричного многочлена...

Условие

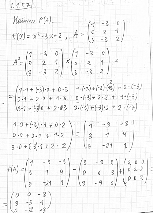
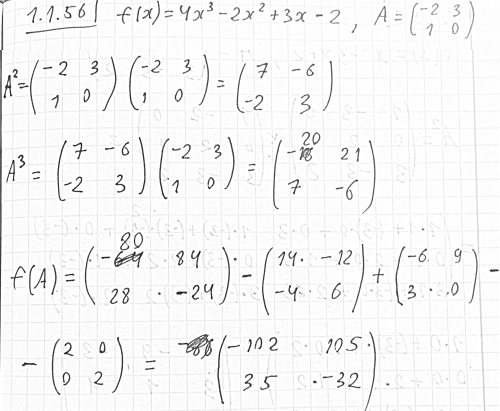
Найдите значение матричного многочлена f(A):

математика ВУЗ 68046

Решение



Ответ: В решение

Вопросы к решению (1)

Написать комментарий

Меню

Присоединяйся в ВК